您的位置:

首页 > 新闻动态

 

几点睡最健康?最佳睡眠时间出炉!

发布时间: 2024-10-19

一生中,大约三分之一的时间是在睡眠中度过,睡眠对我们的健康至关重要,但总有人因为这样那样的原因不能保证正常睡眠,那么究竟什么才是“最佳的睡眠时间”?


最佳入睡时间出炉!

10点-11点入睡对心脏友好

European Heart Journal-Digital Health上刊登的一项队列研究,对招募的103,679名参与者进行调查随访,深入探究了入睡时间与心血管疾病风险之间的关系,最终确认了「最佳入睡时间」。

研究结果显示:晚上十点到十一点(22-23点)之间睡觉,可以降低患心血管疾病的风险;而在凌晨(12点及以后)入睡患病风险最高。


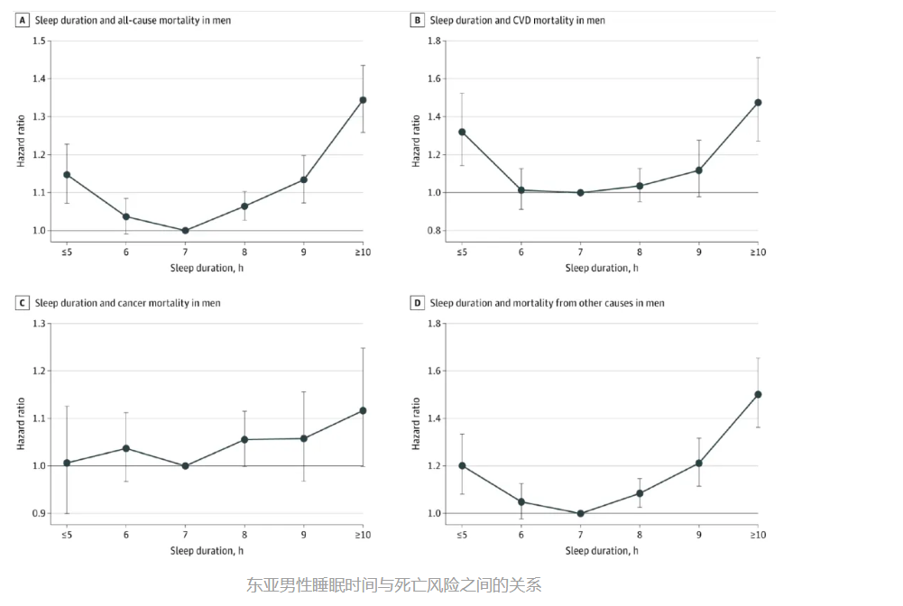
睡眠时长同样重要

研究者从来自亚洲的9个队列中收集到322,721名参与者。在近14年的随访期间,记录到19,419名男性和13,768名女性死亡。

结果显示,睡眠时间与全因死亡率之间存在J型关联——7小时的睡眠时间是与全因、心血管疾病和其他原因死亡相关的最低点。

从下图也可以观察到,睡得太久对健康的损害更大!无论是男性还是女性,全因死亡率在睡眠时长达到10h及以上时最大程度地升高,分别增加43%与55%。

《健康中国行动》建议,中国的成年人每天睡觉的时间平均保持在 7~8 小时就好。如果你能做到晚上 10~11 点之间入睡睡觉,那么经过 7~8 个小时的睡眠,最佳起床的时间就在早上 6~7 点!

总的来说,最佳入睡时间为晚上10点-11点,而「最佳睡眠时长」为7小时,是最有益于人体健康的睡眠时间!

参考文献

[1] Shahram Nikbakhtian, Angus B Reed, Bernard Dillon Obika, Davide Morelli, Adam C Cunningham, Mert Aral, David Plans, Accelerometer-derive sleep onset timing and cardiovascular disease incidence: a UK Biobank cohort study, European Heart Journal - Digital Health, 2021;, ztab088, httpss://doi.org/10.1093/ehjdh/ztab088

[2]Svensson T, Saito E, Svensson AK, et al. Association of Sleep Duration With All- and Major-Cause Mortality Among Adults in Japan, China, Singapore, and Korea. JAMA Netw Open. 2021;4(9):e2122837. doi:10.1001/jamanetworkopen.2021.22837

[3]Li Y, Sahakian BJ, Kang J, Langley C, Zhang W, Xie C, Xiang S, Yu J, Cheng W, Feng J. The brain structure and genetic mechanisms underlying the nonlinear association between sleep duration, cognition and mental health. Nat Aging. 2022 May;2(5):425-437. doi: 10.1038/s43587-022-00210-2. Epub 2022 Apr 28. Erratum in: Nat Aging. 2022 May;2(5):453. PMID: 37118065.


内容主要来源:华医网、科普中国等

 

地址:上海市松江区车亭公路1788号

电话:021-57805678 学校全称:上海立达学院有限公司

传真:021-57802566 招生代码:12587

京ICP备20031688号

Copyright 2013 上海立达学院 / SHANGHAI LIDA UNIVERSITY

Produced By CMS 网站群内容管理系统 publishdate:2026/05/14 16:31:31